|
Тлевые наездники (подсемейство Aphidiinae семейства Braconidae из надсемейства Ichneumonoidea) — небольшие перепончатокрылые насекомые, паразитирующие на тлях. Их личинки, подобно личинкам всех других наездников, развиваются внутри организма другого насекомого, которое в результате погибает, а напитавшаяся личинка окукливается, и из куколки выходит взрослый наездник. Есть примеры успешного использования тлевых наездников для борьбы с тлями в сельском хозяйстве.
|
Многие виды тлевых наездников способны заражать тлей нескольких видов. При этом для ряда видов наездников отмечено, что самка предпочитает заражать тлей того вида, в организме представителя которого прошло ее личиночное развитие. Таким образом, хотя всему виду и не свойственна узкая пищевая специализация, каждая самка в некоторой степени специализирована. Поэтому в неволе можно получить культуру наездников, специализированную на определенном виде тлей. Представители этой культуры, если предоставить им возможность выбирать хозяев, по крайней мере в одном поколении будут сохранять свою специализацию, а если предпочитаемый вид тлей будет доступен, то специализация будет в той или иной степени сохраняться довольно долго, ведь происходящие из данной культуры особи будут преимущественно развиваться в тлях того вида, на котором развивались их предки.
Дебора Финке (Deborah L. Finke) и Уильям Снайдер (William E. Snyder) из Университета штата Вашингтон (Washington State University) воспользовались возможностью манипулировать пищевой специализацией тлевых наездников для проверки одного из теоретических предположений, касающихся биологического разнообразия. Многие экспериментальные данные свидетельствуют о том, что высокое разнообразие представителей определенного трофического уровня, по крайней мере в ряде случаев, помогает организмам этого уровня эффективнее усваивать ресурсы. Гипотеза, которую довольно сложно проверить на опыте, состоит в том, что причиной повышения эффективности усвоения ресурсов при повышении разнообразия является не высокое разнообразие как таковое, то есть не наличие большого числа сосуществующих видов, а различная пищевая специализация этих видов.
Иными словами, большее число видов одного трофического уровня способно потреблять большую долю имеющихся ресурсов не оттого, что видов много, а оттого, что разные виды предпочитают разные варианты ресурсов. Проверить эту гипотезу сложно в связи с тем, что сложно отделить видовое разнообразие как таковое от разнообразия пищевых специализаций имеющихся видов, ведь разные виды почти всегда обладают в той или иной степени разной пищевой специализацией. Однако, хотя это и довольно сложно, это всё же возможно — благодаря возможности манипулировать пищевой специализацией видов. Именно это и сделали исследователи.
|
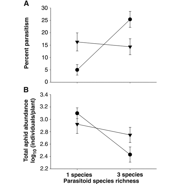
Для опытов взяли тлевых наездников трех видов, Aphidius matricariae, A. colemani и Diaeretiella rapae. В лабораторных условиях получили культуры каждого вида, специализированные только на одном из трех видов тлей (Myzus persicae, Brevicoryne brassicae иLipaphis erysimi), на каждом из которых могут паразитировать все три вида наездников. Были получены все девять возможных вариантов таких культур, то есть для каждого вида наездников были выведены три разных культуры, специализированные каждая на одном из трех видов тлей . Затем самок наездников выпускали в садки, где на редьке (Raphanus sativus) развивались все три вида тлей, — по 36 особей наездников в каждый садок.
|
В первой группе садков были наездники одного вида, специализированные на одном виде тлей (все 36 из одной культуры), во второй — наездники одного вида, специализированные по-разному (по 12 из каждой культуры этого вида), в третьей — три вида наездников, каждый из которых был специализирован на своем определенном виде тлей (по 12 каждого вида, каждый вид — только из одной из трех культур этого вида), а в четвертой — три вида, представители каждого из которых были специализированы по-разному (по 12 каждого вида, в каждом виде — по 4 особи из каждой культуры этого вида); при этом каждая из групп включала все возможные сочетания видов и специализаций наездников.
Таким образом, в первом случае наблюдался эффект низкого разнообразия плюс специализации, во втором — низкого разнообразия без специализации, в третьем — относительно высокого разнообразия с разной специализацией разных видов, а в четвертом — относительно высокого разнообразия без разной специализации разных видов.
Предоставив наездникам во всех четырех группах садков одинаковое время для заражения жертв, исследователи подсчитали долю зараженных тлей в каждом садке, а через некоторое время — также показатели обилия тлей в пересчете на одно растение в садках каждой группы. Больше всего тлей удалось заразить наездникам в садках четвертой группы, где было три вида наездников и каждый из них специализировался на своем виде тлей; вполне закономерно, что в этом же случае сильнее всего снизилось обилие тлей на растениях. Три вида наездников, не различающиеся по пищевой специализации, смогли заразить не больше тлей, чем один неспециализированный вид наездников.
|
Таким образом, по крайней мере в данном примере, повышение разнообразия видов на определенном трофическом уровне (в данном случае — у консументов второго порядка) само по себе не приводит к более эффективному потреблению ресурсов (в данном случае — тлей, консументов первого порядка); в свою очередь, повышение разнообразия видов, при котором повышается и разнообразие специализаций, позволяет эффективнее потреблять ресурсы.
Проверка многих теоретических положений экологии затруднена тем, что в природе одновременно действует слишком много взаимосвязанных факторов, и действие одного из них трудно отделить от действия другого. Удачный выбор объекта исследования (трех видов тлевых наездников, способных заражать одни и те же виды тлей) и остроумная постановка экспериментов позволили авторам этой работы преодолеть одно из таких затруднений, отделив разнообразие как таковое от разнообразия пищевых специализаций. В результате теоретическое положение о том, что для эффективности потребления ресурсов важно именно разнообразие специализаций, получило убедительное подтверждение.
Этот вывод можно использовать в разработке природоохранных мер, при которой следует учитывать, что для эффективного функционирования экосистем может быть важно не столько высокое разнообразие видов как таковое, сколько высокое разнообразие специализаций, свойственных этим видам. Не исключено, что полученные результаты найдут и непосредственное практическое применение — помогут усовершенствовать биологические методы борьбы с тлями, которые наносят ряду отраслей сельского хозяйства ощутимый урон.







